Przejdź do

  • Menu podmiotowe
  • Menu przedmiotowe
  • Do treści
  • Mapa strony
  • Kontakt
Herb - Urząd Miejski w Gniewkowie

Urząd Miejski w Gniewkowie Biuletyn Informacji Publicznej

zaawansowane wyszukiwanie
Kontakt
Menu Biuletyn Informacji Publicznej - logo
  • Rozmiar tekstu
  • Kontrast
  • Wydrukuj
  • Dane XML
  • Strona www

Menu podmiotowe

  • Dane teleadresowe
  • Burmistrz
  • Rada
  • Komisje
  • Wydziały
  • Referaty
  • Samodzielne stanowiska
  • Stanowiska
  • Inne jednostki podległe
  • Instytucje kultury
  • Jednostki budżetowe
  • Pomoc społeczna
  • Spółki prawa handlowego z udziałem gminy
  • Sołectwa

Menu przedmiotowe

  • Oświadczenia majątkowe
  • Prawo lokalne
  • Wybory
  • Kontrole
  • Praca
  • Środowisko naturalne
  • Dokumenty strategiczne
  • Emisja obligacji 2020
  • Emisja obligacji 2013
  • Konsultacje społeczne
  • Budżet Gminy Gniewkowo
  • Interpelacje ,wnioski i postulaty radnych
  • Petycje
  • Informacja publiczna
  • Nagrania z sesji Rady Miejskiej w Gniewkowie
  • Imienne wykazy głosowań radnych
  • Informacje o sesjach Rady Miejskiej w Gniewkowie - kadencja 2018-2023 (materiały i projekty uchwał)
  • Informacje o sesjach Rady Miejskiej w Gniewkowie kadencja 2024-2029 (materiały i projekty uchwał)
  • Informacje o posiedzeniach Komisji Rady Miejskiej w Gniewkowie
  • Młodzieżowa Rada Miejska
  • Gminna Rada Seniorów
  • Dostępność
  • RODO
  • Nieodpłatne Poradnictwo Obywatelskie
  • ZGROMADZENIA
  • Plan Ogólny Gminy Gniewkowo
  • Druki do pobrania
  • Standardy Ochrony Małoletnich
  • SYGNALIŚCI
  • Druki oświadczeń majątkowych do pobrania

Ogłoszenia

  • Przetargi
  • Komunikaty
  • Aktualności
  • Przetargi od 2022 r.

Deklaracja dostępności

Monitor Polski

Dziennik Ustaw

  • Strona główna
  • Prawo lokalne
  • Zarządzenia - archiwum
  • Zarządzenie Nr 24/2006 Burmistrza Gniewkowa z dnia 29 marca 2006r. w/s sprzedaży...

Zarządzenia - archiwum

  • Zarządzenie Nr 23/2006 Burmistrza Gniewkowa z dnia 28 marca 2006r. w/s powołania Gminnej Komisji Urbanistyczno-Architektonicznej w Gniewkowie jako organu doradczego oraz ustalenia regulaminu określającego jego organizację i tryb działania
  • Zarządzenie Nr 25/2006 Burmistrza Gniewkowa z dnia 14 kwietnia 2006r. w/s zmiany zarządzenia Nr 72/2003 Burmistrza Gniewkowa z dn. 30.12.03r. w/s zatwierdzenia Instrukcji zarządzenia systemem informatycznym ze zbiorami danych , Instrukcji postępowania w sytuacji naruszenia ochrony danych osobowych

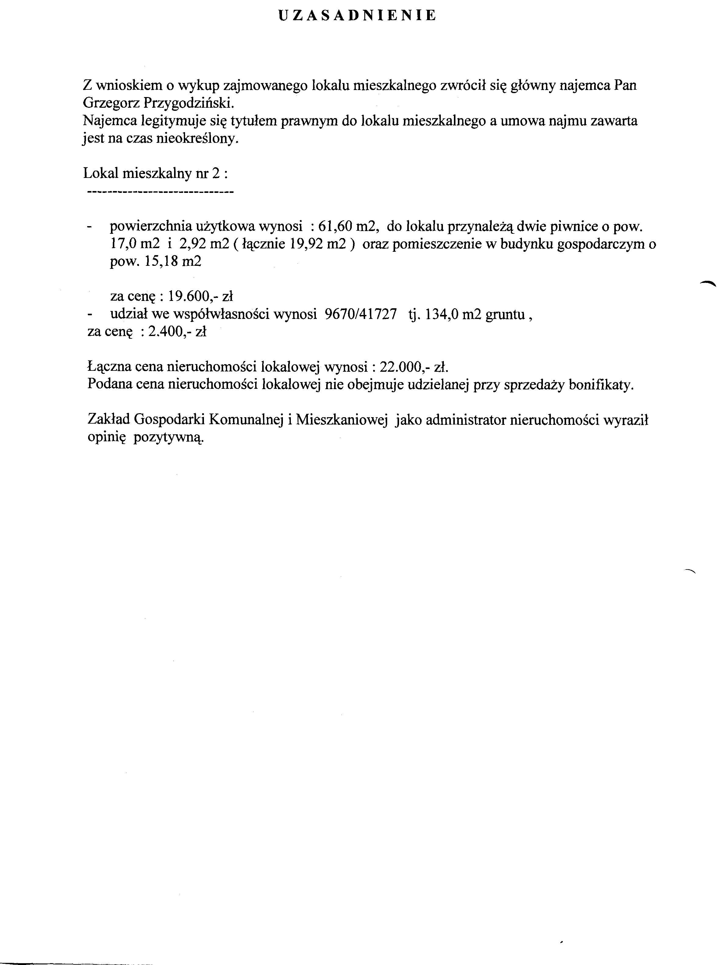
Zarządzenie Nr 24/2006 Burmistrza Gniewkowa z dnia 29 marca 2006r. w/s sprzedaży lokalu mieszkalnego nr 2 usytuowanego w budynku wielorodzinnym w Gniewkowie przy ul.Dworcowej Nr 15 wraz z przynależnym udziałem we współwłasności na rzecz głównego najemcy

Załączniki

Treść zarządzenia 520.74 KB jpg Pobierz
Uzasadnienie 280.37 KB jpg Pobierz

Rejestr zmian

Data wprowadzenia dokumentu do BIP: 20 kwietnia 2006 09:04
Dokument wprowadzony do BIP przez: Administrator
Ilość wyświetleń: 965
20 kwietnia 2006 09:05 (Administrator) - Dodano załącznik
20 kwietnia 2006 09:04 (Administrator) - Dodano załącznik
  • Mapa strony
  • Instrukcja obsługi
  • Redakcja
  • Rejestr zmian
  • Statystyki
  • Wyszukiwarka

Urząd Miejski w Gniewkowie

Adres

ul. 17 Stycznia 11

88-140 Gniewkowo

Kontakt

TEL.: 52 3543008

E-MAIL: urzad@gniewkowo.com.pl

Statystyka odwiedzin

6888383

Realizacja: IDcom.pl

Wszelkie prawa zastrzeżone © 2025 Urząd Miejski w Gniewkowie